中国科学院环江喀斯特生态系统观测研究站
新闻公告
地质约束下西南喀斯特区域森林恢复的水分限制研究取得新进展
作者: 环江站 更新时间: 2025-12-18

        西南地区长期受高强度、高频率人类活动扰动。近年来,通过大规模封山育林等生态修复政策,森林覆盖度显著提升。然而,该区域广泛分布的喀斯特地貌具有土层浅薄、渗透性强等脆弱地质特征,叠加季风气候周期性干旱的影响,导致大面积造林在提高植被覆盖的同时,也可能引发土壤水分显著下降。因此,在区域植被快速“变绿”的背景下,亟需辨析“变绿”后影响喀斯特区生态恢复可持续性与稳定性的潜在生态风险。

        针对上述问题,中国科学院亚热带农业生态研究所环江喀斯特生态系统观测研究站王克林研究员团队,基于表层土壤水分、蒸散发、饱和水汽压差等多源遥感水分数据,系统分析了西南季风区和东亚季风区不同森林类型的碳-水关系区域分异。研究结果证实,桉树和马尾松等人工林相比天然次生林虽具有更高的生产力,但大规模集中造林确实会导致区域表层土壤水分的下降(图1)。尤其在季节性干旱明显的西南季风区,桉树林的表层土壤水分消耗速率达到东亚季风区的2.42倍,特别当表层土壤水分低于0.18m3/m3时,植被生产力开始受到抑制,表明水分供给已成为制约该地区植被恢复可持续性的关键因素。研究还发现,饱和水汽压差在两个气候区均表现出对总初级生产力的显著抑制作用,表明大气干旱也是影响西南地区植被生产力的关键限制性气候因子。

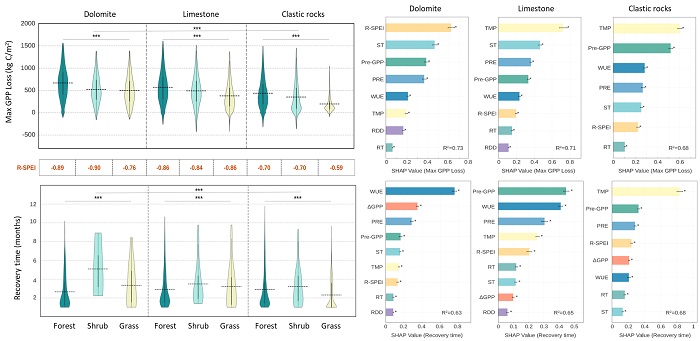
       团队进一步揭示了地质约束下长期气候水分亏缺状况对植被生产力的影响机制,利用贝叶斯线性回归方法,评估了西南地区气候水分亏缺变化对植被生产力的影响。结果显示,相比石灰岩和碎屑岩地区,白云岩地区植被对气候水分亏缺(Climate Water Deficit,CWD)更为敏感,这种敏感性主要受风化层厚度与土壤厚度交互作用的调控,发现当土壤厚度超过0.57米时,植被生产力对干旱的敏感性显著降低(图2)。这一发现初步揭示了植被对水分亏缺敏感性的驱动因素,为理解植被应对气候变化的恢复力提供了依据。
        团队进一步发现上述水分限制矛盾在2022年西南地区破纪录的极端干旱事件中得到进一步印证。与森林和草地相较,西南地区灌丛在干旱后恢复最为缓慢,其整体恢复时间分别是森林和草地的1.39倍和1.32倍。喀斯特区,尤其是白云岩分布区,植被表现出更强的干旱脆弱性:干旱期间灌丛的总初级生产力损失为碎屑岩区的2.57倍,且恢复时间延长60%(图3)。进一步分析表明,温度是非喀斯特区植被恢复的主要驱动因子,而水分利用效率则是喀斯特区植被恢复的关键限制因素。具体而言,在经历极端干旱后的恢复阶段,表层土壤水分受限时,喀斯特地区植被具有更高的水分利用效率;水分充足时,非喀斯特地区植被的水分利用效率更高。
        上述研究系统揭示了西南喀斯特地区大规模造林可能面临土壤水分与大气干旱的双重限制风险,强调了需结合区域水热条件差异制定适应性植被恢复与管理策略。相关研究得到国家自然科学基金重点基金、广西重大科技专项和国家重点研发计划项目的资助,论文成果分别以Regional differences in carbon-water dynamics of various plantation forests in Southwest ChinaLithology controls drought sensitivity in southwest ChinaBedrock controls vegetation resilience: Dominant role of lithology in the 2022 southern China drought为题,发表在Journal of HydrologyProgress in Physical Geography: Earth and EnvironmentAgricultural and Forest Meteorology等期刊。

论文链接 123


图1 不同季风区水文变量对生产力响应及2015-2020年SSM变化


图2 土壤厚度与风化层厚度交互作用的曲率分析及阈值确定


图3 2022干旱后生产力损失和恢复时间的岩性和植被类型分异

(李倩    撰稿)

版权所有:国家生态系统观测研究网络 京ICP备05002838号-58
Email: hja@cern.ac.cn TEL:0731-84615220 技术支持:国家生态科学数据中心 • 中国科学院计算机网络信息中心